• Предмет: Алгебра
  • Автор: Аноним
  • Вопрос задан 2 года назад

Алгебра. Даю 100 балів. потрібно вирішити завдання з максимальним поясненням щоб було усе зрозуміло будь ласка.

з дуже детальним поясненням будь ласка

Приложения:

Ответы

Ответ дал: ludmilaksenija2005
2

Объяснение:

1.

y=cos(x+2π) ; [-π/2;π/2]

ответ: Б

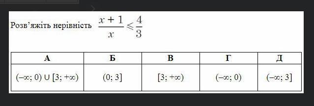
2.

(х+1)/х≤4/3 ; х≠0

(х+1)/х -4/3≤0

(3(х+1)-4х)/3х≤0

(3х+3-4х)/3х≤0

(-х+3)/3х≤0

-х+3≤0 -х+3≥0

3х>0 3х<0

х≥3 х≤3

х>0 х<0

х∈[3;+∞) х∈(-∞;0)

х∈(-∞;0)⋃[3;+∞) ; х≠0

ответ: А

3.

0,3²•10⁴=(3/10)²•10⁴=3²/10²•10⁴=3²•10²=

=9•100=900

ответ: Б


kimkarina953: Добрый вечер, Извините, что беспокою. Не могли бы помочь с алгеброй пожалуйста умоляюю
Вас заинтересует