• Предмет: Алгебра
  • Автор: olesat800
  • Вопрос задан 2 года назад

Питання №1 ?
2 бали
Відстань між двома населеними пунктами по річці дорівнює 60 км.

Цю відстань теплохід пропливає за течією річки за 2 год, а проти течії - за 3 год. Знайди власну швидкість теплохода.

Відповідь

Питання №2 ?
2 бали
Відомо, що 30% числа a на 20 більше, ніж 35% числа b, а 30% числа b на 8 більше, ніж 20% числа a. Знайди числа a і b.

440 і 320

560 і 500

110 і 170

320 і 190

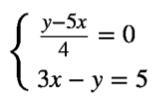
Питання №3 ?
2 бали
Розв’язати систему рівнянь



(2,8; 5,6)

(-2,5; -12,5)

(8,4; -1,8)

(-4,2; 6,6)

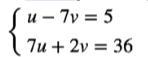
Питання №4 ?
2 бали
Розв’язати систему рівнянь. Відповідь подати у вигляді (v; u)



(1,7; 5,3)

(12; 1)





Питання №5 ?
2 бали
Знайди точку перетину графіків, заданих формулами y = 1,5x і 2y + 2x = 26

(3; -2,5)

(-5,5; 8)

(3,5; 2,6)

(5,2; 7,8)

Питання №6 ?
2 бали
У 15 коробок розклали 76 олівців. У маленькі поклали по 4 олівця, а у великі – по 6 олівців. Скільки вийшло маленьких і скільки великих коробок з олівцями? У відповіді вкажіть їх добуток.

Відповідь

Приложения:

Ответы

Ответ дал: sqoobt
2

Ответ: 1 вопрос. Ниже ответ

Объяснение: 1) 60:2=30(км/год) - за течією річки
2) 60:3=20(км/год) - проти течії річки

Вас заинтересует