• Предмет: Алгебра
  • Автор: pantiushaskoryk
  • Вопрос задан 2 года назад

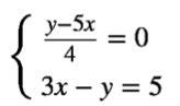
Розв’язати систему рівнянь

Приложения:

Ответы

Ответ дал: solarbae
1

Ответ: (-2,5 ; -12,5)

Объяснение:

На фото:

Приложения:
Вас заинтересует