• Предмет: Геометрия
  • Автор: victorhugo
  • Вопрос задан 10 лет назад

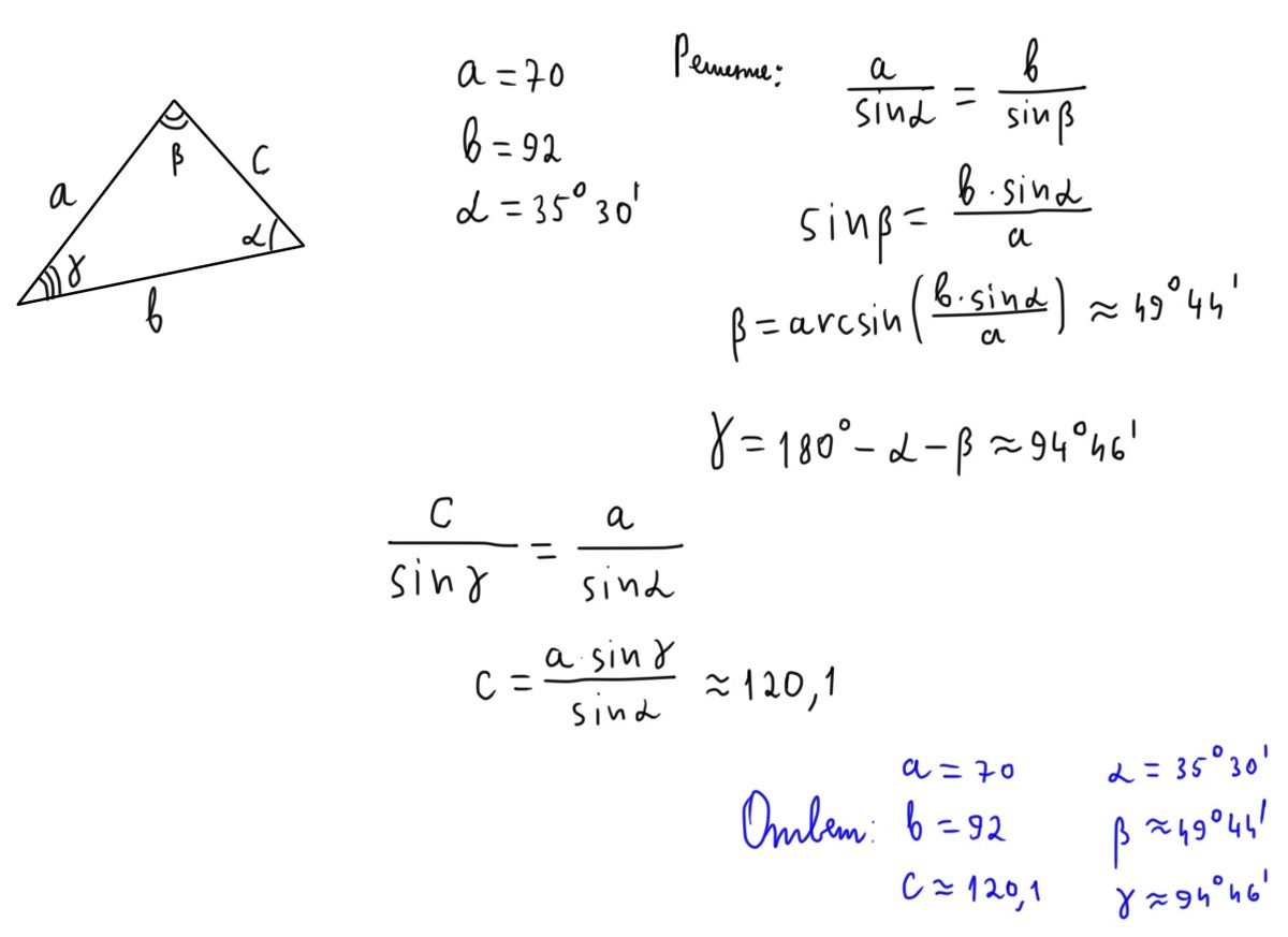
Вычислите неизвестные стороны и углы треугольника , если а=70
б=92 , α  = 35 30"

Ответы

Ответ дал: nikolac
0
Решение на картинке.
Приложения:
Вас заинтересует