• Предмет: Математика
  • Автор: milanaoduvancik754
  • Вопрос задан 2 года назад

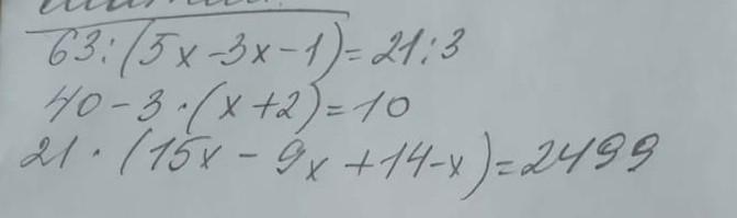
помогите пожалуйста (даю самый лучший ответ) + 10​

Приложения:

Ответы

Ответ дал: l1nkizday
0

Ответ:

63:(5х-3х-1)=21:3

Пошаговое объяснение:

21:3=(1):63

1:63=21:3

1:63=7

63:7:1

7:1

7

-------------------------

21.3=21

21=21

Вас заинтересует