• Предмет: Математика
  • Автор: OksanaaDol
  • Вопрос задан 2 года назад

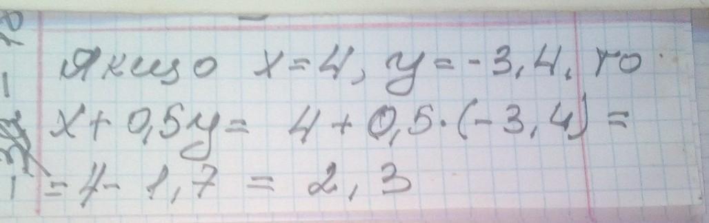
знайдіть значення виразу х+0.5у, якщо х=4, у=-3,4
терміново​

Ответы

Ответ дал: manyny06
1

Ответ:

решение смотри на фотографии

Приложения:
Вас заинтересует