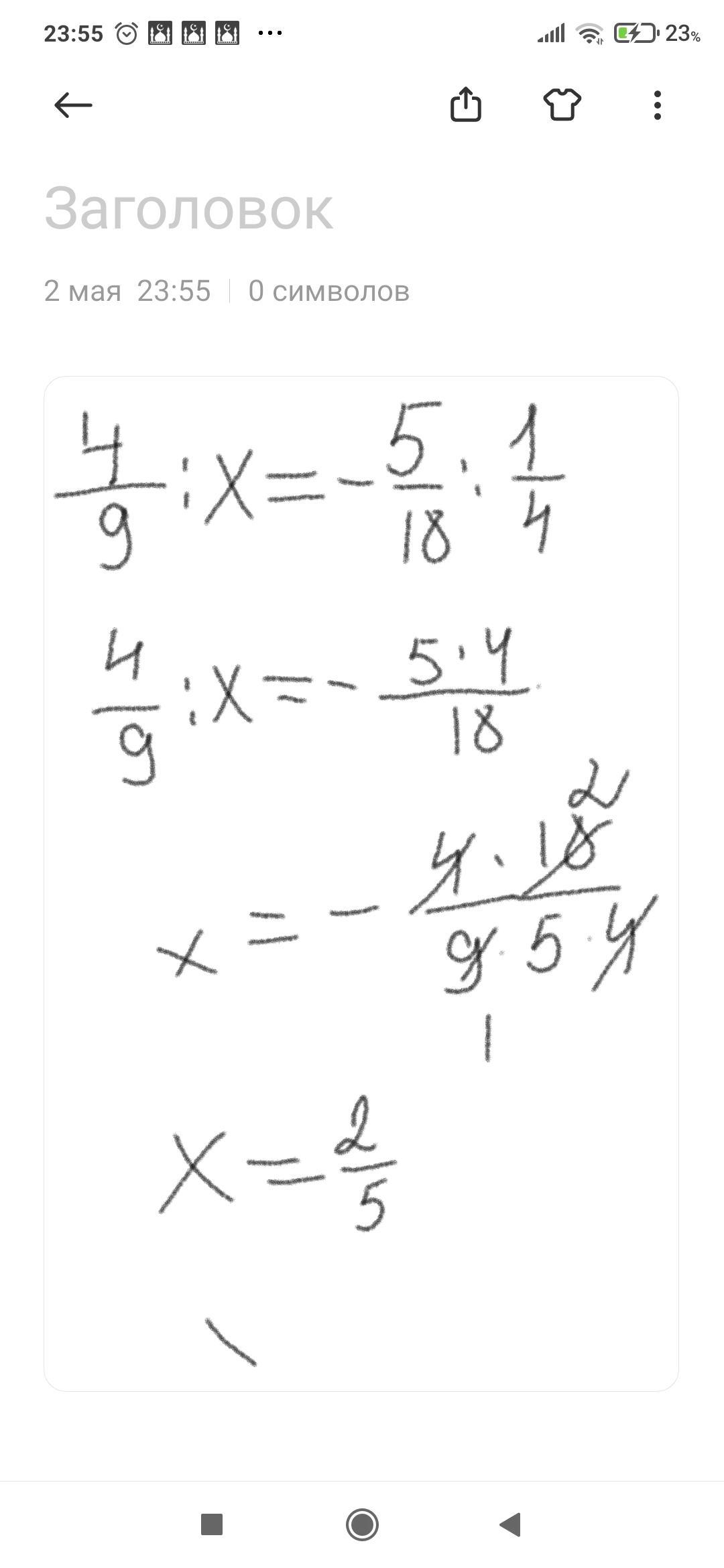
Найдите неизвестный член пропорции 4/9:x=-5/18:1/4
ПОЖАЛУЙСТА ПРОШУ ПОМОГИТЕЕ ОЧЕНЬ СРОЧНО НАДООО
Ответы
Ответ дал:
0
Ответ:
Пошаговое объяснение:
Приложения:

Вас заинтересует
1 год назад
1 год назад
3 года назад
3 года назад