• Предмет: Математика
  • Автор: rambot2761
  • Вопрос задан 2 года назад

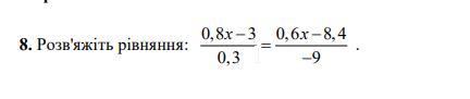
ПОМОГИТЕ ПОЖАЛУЙСТА ДАЮ 29 БАЛЛОВ

Приложения:

Ответы

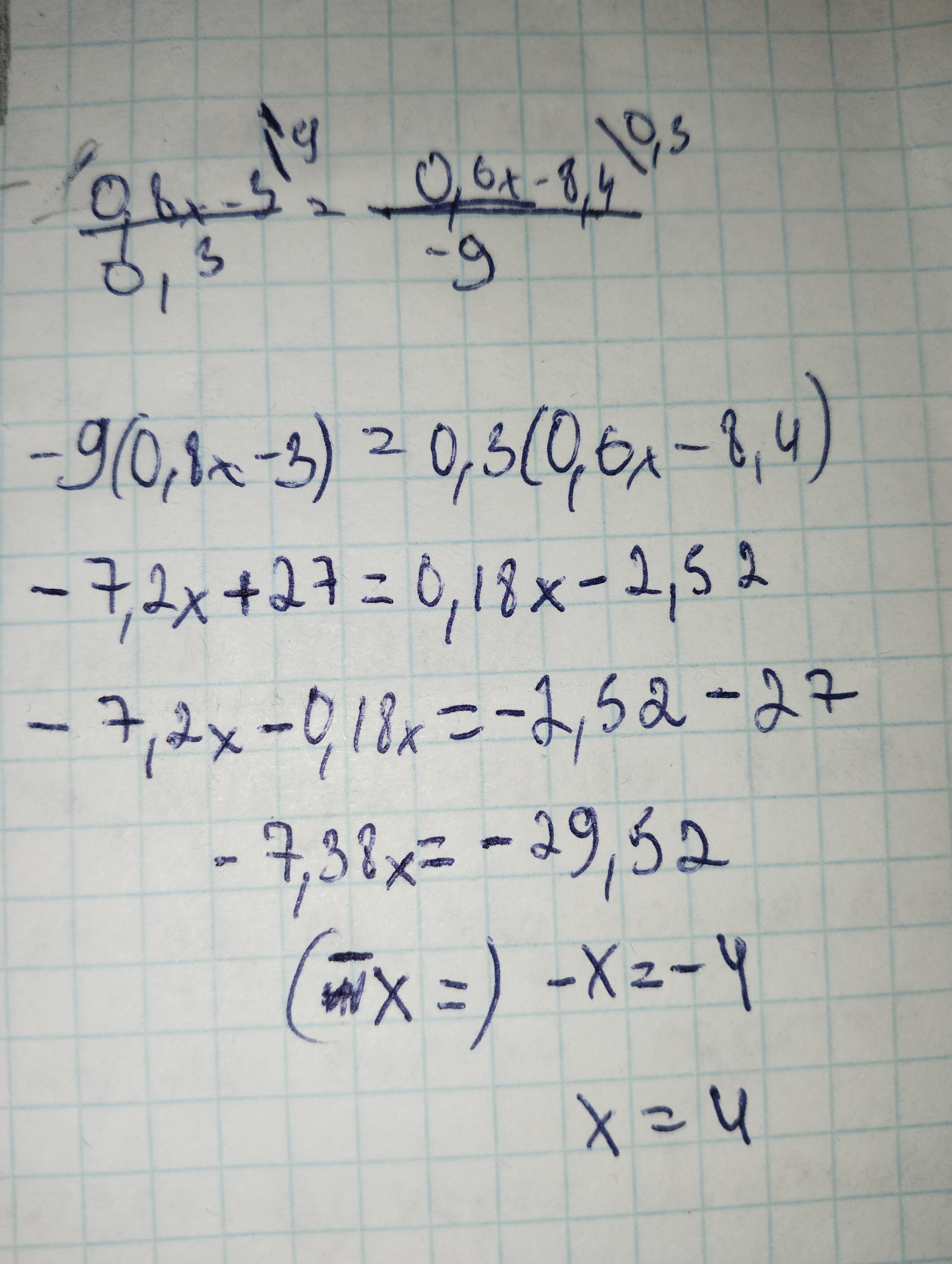
Ответ дал: Youko7
0

Ответ:

Пошаговое объяснение:

Приложения:
Вас заинтересует