Розв`язати рівняння
(х²+2х-2)(х²+2х-4)=8
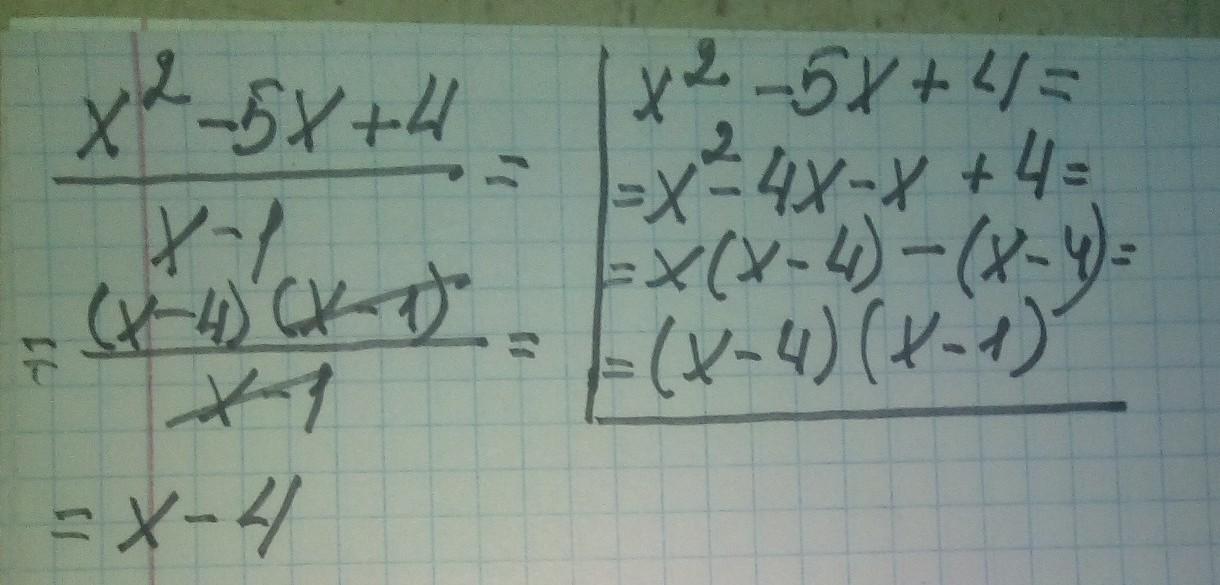
Скоротити дріб

Надіслати разом із розв'язанням (бажано з поясненням)
Ответы
Ответ дал:
1
Ответ:
решение смотри на фотографии
2 фотографии
Приложения:


Вас заинтересует
1 год назад
1 год назад
3 года назад
3 года назад
8 лет назад