Ответы
Ответ дал:
0
Ответ:
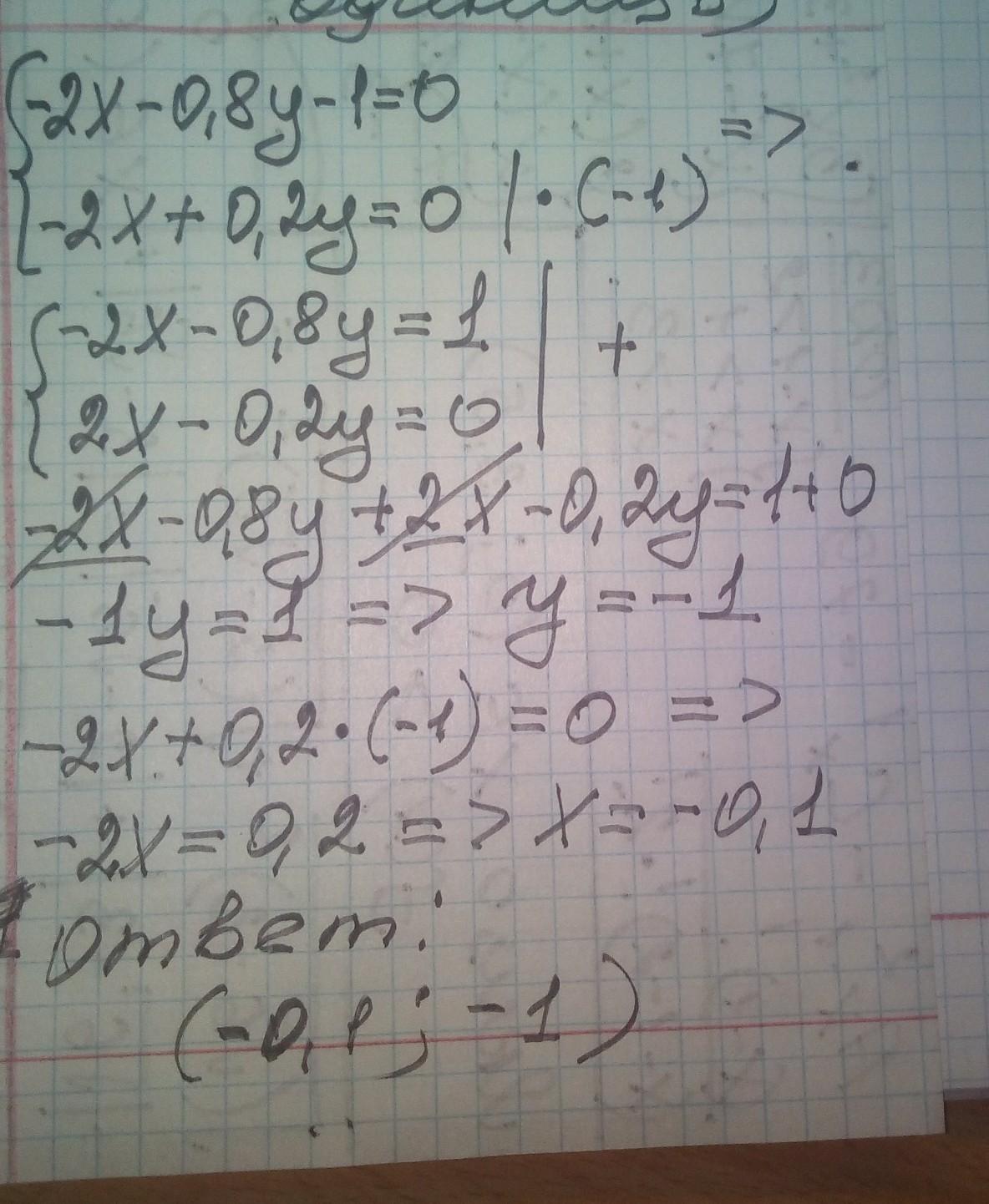
решение смотри на фотографии
Приложения:

Ответ дал:
1
Ответ:
(-0,1; -1)
Пошаговое объяснение:
{-2х - 0,8у - 1 = 0 | * -1
{-2х + 0,2у = 0
{2х + 0,8у + 1 = 0
{-2х + 0,2у = 0
{2х + 0,8у = -1
{-2х + 0,2у = 0
{у = -1
{2х + 0,8у = -1
2х + 0,8у = -1
2х + 0,8 * (-1) = -1
2х - 0,8 = -1
2х = -1 + 0,8
2х = -0,2
х = -0,2 : 2
х = -0,1
(-0,1; -1)
Вас заинтересует
1 год назад
1 год назад
1 год назад
3 года назад
3 года назад
8 лет назад