Ответы
Ответ дал:
1
Ответ:
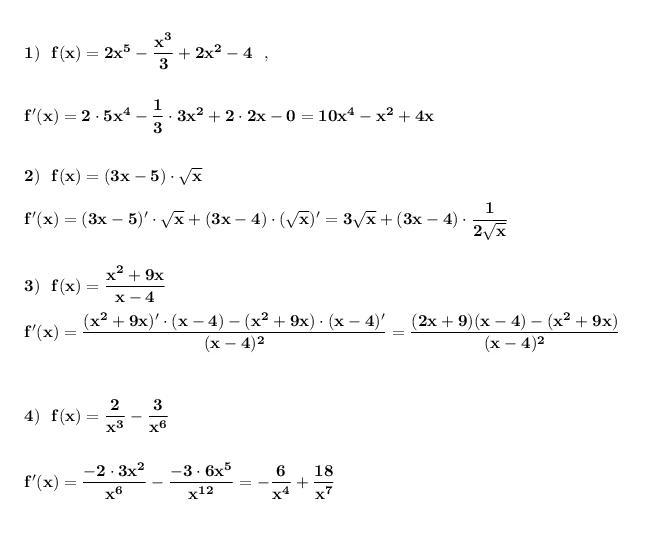
Применяем правила дифференцирования и таблицу производных .
Приложения:


bohdankaspruk07:
https://znanija.com/task/52856426
Вас заинтересует
1 год назад
1 год назад
1 год назад
3 года назад
3 года назад
8 лет назад
8 лет назад