Решите примеры по действиям (100 баллов)
Приложения:

Аноним:
Ой
Ответы
Ответ дал:
0
Відповідь:
Пояснення:
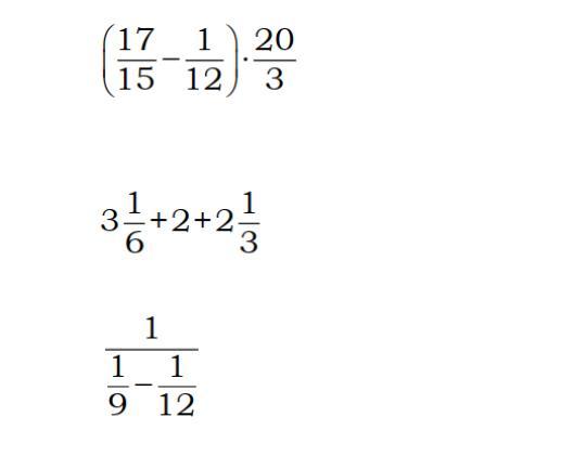
1. 7
2. 7,5
3. 3.6
Вас заинтересует
1 год назад
1 год назад
1 год назад
1 год назад
3 года назад
8 лет назад