• Предмет: Алгебра
  • Автор: serradionov
  • Вопрос задан 2 года назад

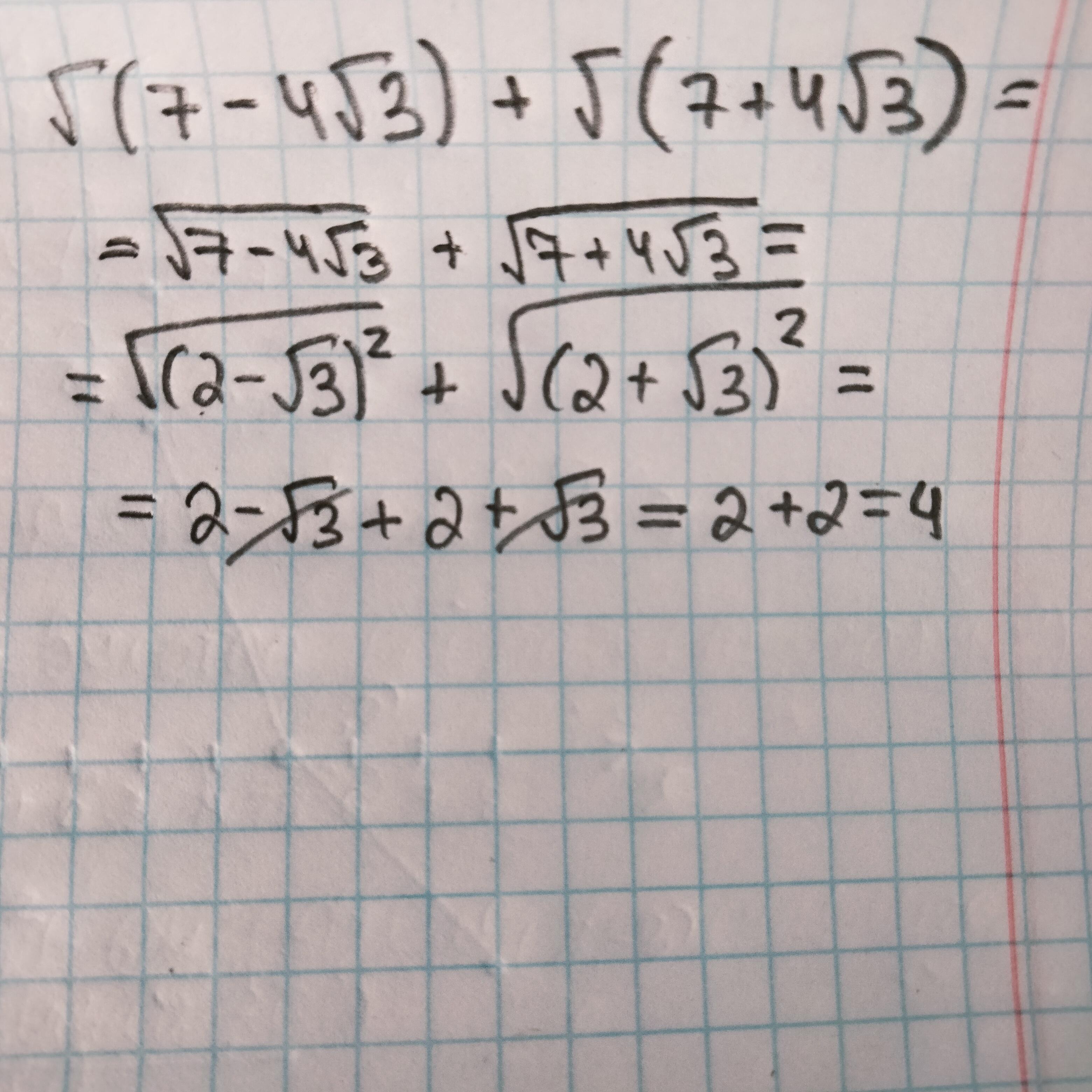
упростить √(7-4√3)+√(7+4√3)​


Simba2017: подкоренные выражения можно представить в виде квадрата разности и суммы
Simba2017: 2-V3+2+V3=4

Ответы

Ответ дал: nikasavcenko113
1

√(7-4√3)+√(7+4√3)=√(2-√3)²+√(2+√3)²=2-√3+2+√3=4

Ответ дал: 1Manka1
1

Ответ:

Объяснение:

рішення на фотографії.

Приложения:
Вас заинтересует