• Предмет: Информатика
  • Автор: angel220610
  • Вопрос задан 2 года назад

Информатика 7 класс. Помогите пожалуйста!!!

Приложения:

Anigoo1: ну и? что делать нужно?. Если решить то можно обычной математикой
angel220610: Ну это по информатике, я вообще не знаю
angel220610: Аа
angel220610: По-моему это нужно в программе
angel220610: Пайтон или утхон как тт так

Ответы

Ответ дал: DK404
1

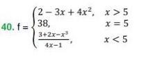
Ответ:

Python:

x = float(input("Enter x value.\n>> "))

if x > 5:

res = = 2 - 3*x + 4*x**2

elif x == 5:

res = 38

else:

res = (3 + 2*x - x**3)/(4*x - 1)

print("Result:", res)

Объяснение:

Сподіваюсь що допомогла.

Вас заинтересует