• Предмет: Математика
  • Автор: roglaloly
  • Вопрос задан 2 года назад

2. Найдите координаты точки В, если даны координаты следующих точек: A(-412), M(6) 4) если точка М является серединой отрезка AB ​

Ответы

Ответ дал: Alnadya
0

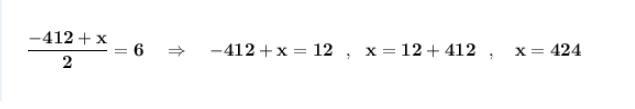
Решение.

Даны точки на оси  А(-412)  и   М(6) .

Точка М - середина отрезка АВ .

Найти координаты точки В .

Обозначим координату точки В через  х , то есть В(х) .

Тогда координата середины отрезка равна полусумме координат концов отрезка . Запишем это .

\bf \dfrac{-412+x}{2}=6\ \ \ \Rightarrow \ \ \ -412+x=12\ \ ,\ \ x=12+412\ \ ,\ \ \ x=424  

Координаты точки  В(424)  .

Приложения:
Вас заинтересует