Ответы
Ответ дал:
0
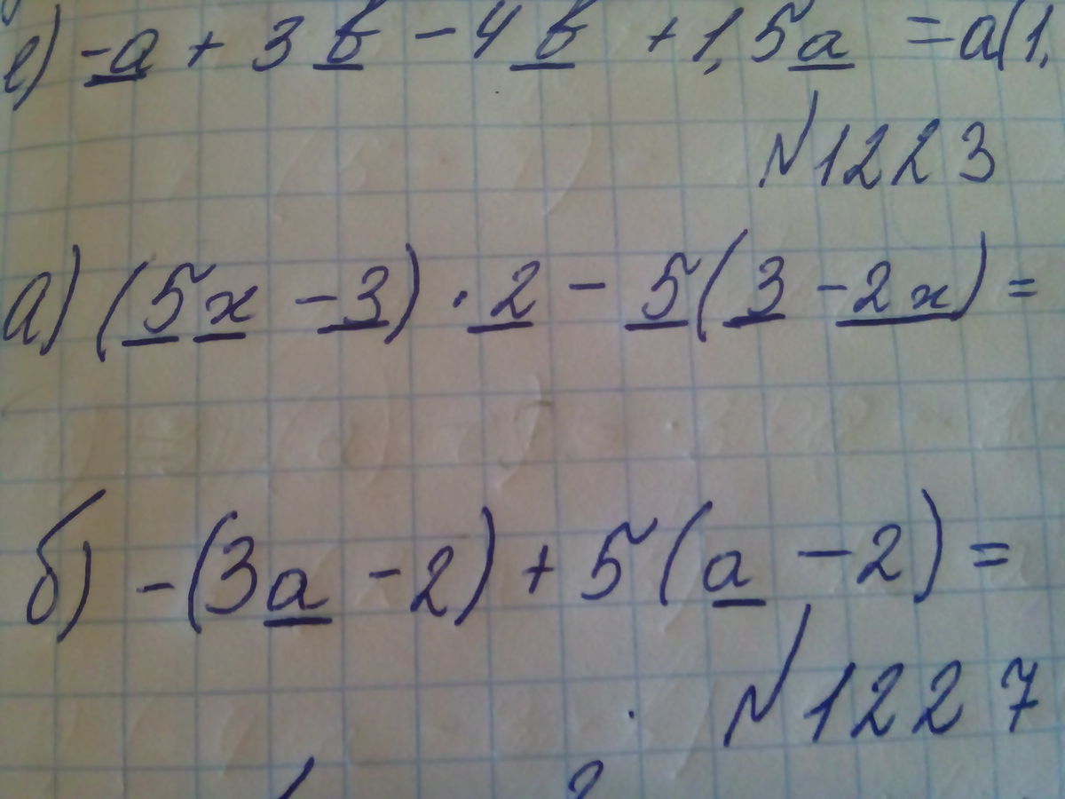
A) (5x-3)*2-5*(3-2x)=5x*2+3*(-3)-5*3-5*(-2x)=10x-9-15+10x=10x+10x-9-15=20x-24
B) -(3a-2)+5(a-2)=3a+2+5a+5*(-2)=3a+2+5a-10=3a+5a+2-10=8a-8
B) -(3a-2)+5(a-2)=3a+2+5a+5*(-2)=3a+2+5a-10=3a+5a+2-10=8a-8
Ответ дал:
0
спасибо большое)))))!!!!!!!!!!!!
Вас заинтересует
3 года назад
3 года назад
8 лет назад
11 лет назад
11 лет назад
11 лет назад
11 лет назад