• Предмет: Алгебра
  • Автор: anastasiaostrovskaa5
  • Вопрос задан 2 года назад

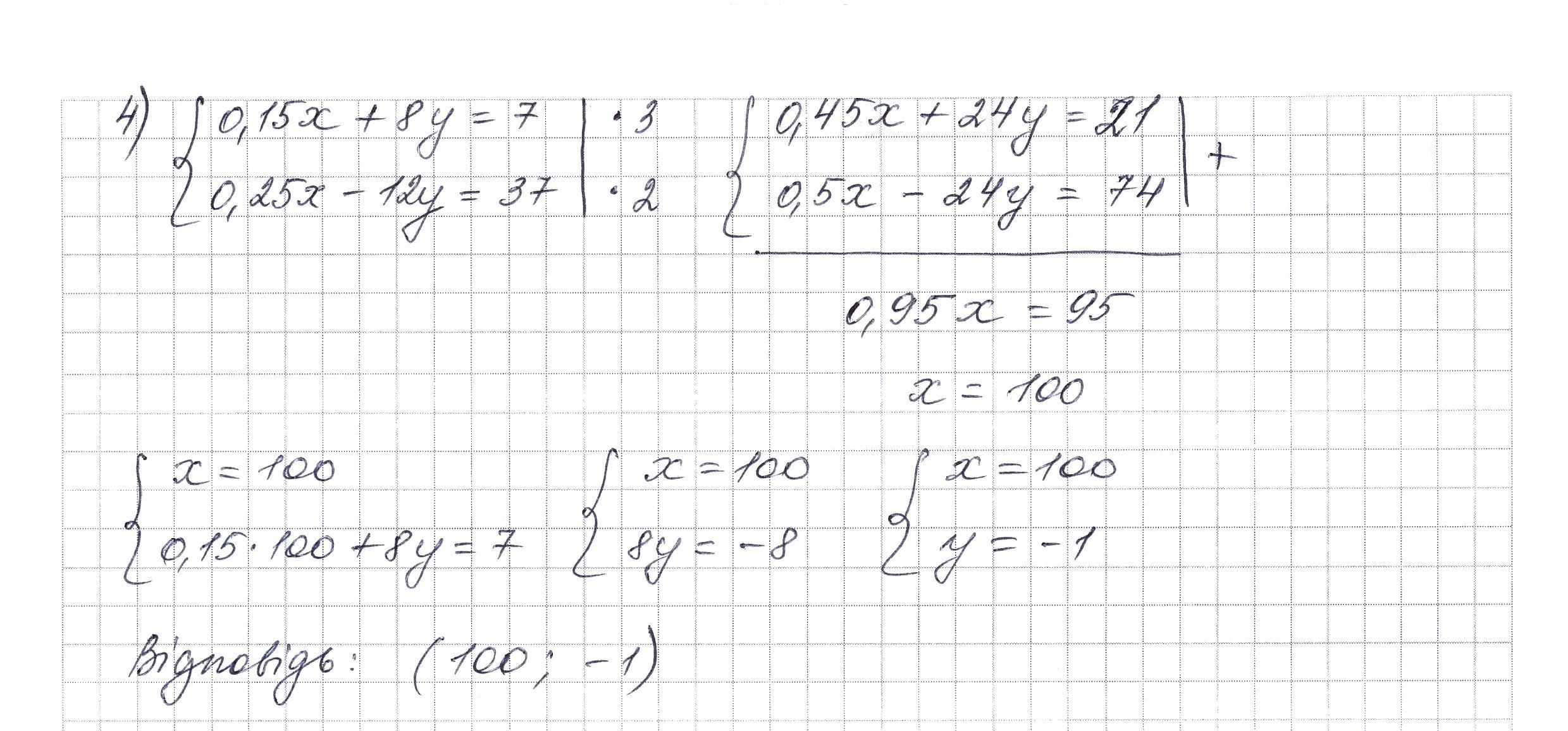
розв'язати систему способом додавання​

Приложения:

Ответы

Ответ дал: yanata101
1

Розв'язання дивись на фото 1-2

Приложения:

anastasiaostrovskaa5: как второе фото отрыть?
yanata101: внизу два ескізи фото, клікаєш по них, потрібне фото відображається
anastasiaostrovskaa5: дякую)
Вас заинтересует