• Предмет: Математика
  • Автор: Kalederim
  • Вопрос задан 2 года назад

Нужно решить системы дифференциальные уравнений !!!!!! СРОЧНО ПЖППЭПЖЭПЖП

Приложения:

Ответы

Ответ дал: iblks591
1

Ответ:

1)

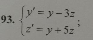
Дана система диференціальних рівнянь:

y' = y - 3z

z' = y + 5z

Для знаходження загального розв'язку системи можна скористатися методом елімінації невідомих. Для цього необхідно спочатку знайти значення однієї з невідомих, наприклад, z, через іншу невідому y, і підставити це значення в друге рівняння системи для знаходження y.

З першого рівняння системи можна виділити змінну z:

z = (y - y')/3

Підставимо це значення змінної z в друге рівняння системи:

y' = y - 3((y - y')/3) + 5y

y' = 2y - y'

2y = 2y'

y = y'

Отже, отримали, що y = y'. Підставимо це значення в формулу для змінної z:

z = (y - y')/3 = 0

Отже, з = 0. Тепер можна записати загальний розв'язок системи:

y(t) = C1e^t

z(t) = 0

де С1 - будь-яка константа.

Таким чином, достовірною є тільки змінна y, а змінна z залишається постійною і дорівнює нулю.

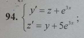
2) Дана система диференціальних рівнянь:

y' = z + e^(3x)

z' = y + 5e^(3x)

Щоб знайти загальний розв'язок цієї системи, можна використовувати метод інтегрування за частинами.

З першого рівняння можна знайти залежність z від x:

z = y' - e^(3x)

Підставивши це значення в друге рівняння, отримаємо нове рівняння, залежне лише від y та x:

y'' - 3y' - 5e^(3x) = 0

Щоб знайти загальний розв'язок цього рівняння, можна використати характеристичний рівняння:

λ^2 - 3λ - 5e^(3x) = 0

Корені цього рівняння можна знайти за допомогою формули коренів квадратного рівняння:

λ = (3 ± sqrt(9 + 20e^(3x))) / 2

Таким чином, загальний розв'язок для y має вигляд:

y(x) = c1 * e^((3 + sqrt(9 + 20e^(3x))) / 2 * x) + c2 * e^((3 - sqrt(9 + 20e^(3x))) / 2 * x) + 5/20 * e^(3x)

де c1 та c2 - довільні константи.

Знаючи залежність z від y, можна виразити z залежно від x:

z = y' - e^(3x) = (c1/2) * sqrt(9 + 20e^(3x)) * e^((3 + sqrt(9 + 20e^(3x))) / 2 * x) - (c2/2) * sqrt(9 + 20e^(3x)) * e^((3 - sqrt(9 + 20e^(3x))) / 2 * x) + (15/20) * e^(3x) - e^(3x)

Отже, загальний розв'язок системи має вигляд:

y(x) = c1 * e^((3 + sqrt(9 + 20e^(3x))) / 2 * x) + c2 * e^((3 - sqrt(9 + 20e^(3x))) / 2 * x) + 5/20 * e^(3x)

z(x) = (c1/2) * sqrt(9 + 20e^(3x)) * e^((3 + sqrt(9 + 20e^(3x))) / 2 * x) - (c2/2) * sqrt(9 + 20e^(3x)) * e^((3 - sqrt(9 + 20e^(3x))) / 2 *

\

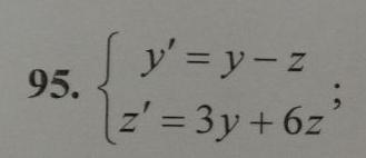
3)Ця система диференціальних рівнянь має вигляд:

y' = y - z

z' = 3y - 6z

Для розв'язання системи використаємо метод елімінації невідомих. Спочатку відновимо попередні вирази для y та z з першого та другого рівняння відповідно:

y = y' + z

z = (3y - z) / 6 = y/2 - z/2

Підставляємо вираз для y у друге рівняння:

z' = 3(y' + z) - 6z

Після спрощення отримаємо:

z' = 3y' + 3z - 3z

z' = 3y'

Отже, маємо два рівняння:

y' = y - z

z' = 3y'

З першого рівняння виразимо z:

z = y - y'

Підставимо цей вираз у друге рівняння:

(y - y')' = 3y'

y' - y'' = 3y'

y'' + 2y' - y = 0

Розв'язуємо характеристичне рівняння:

r^2 + 2r - 1 = 0

Отримуємо два корені:

r1 = -1 - sqrt(2)

r2 = -1 + sqrt(2)

Тоді загальний розв'язок має вигляд:

y = c1 * e^(r1 * t) + c2 * e^(r2 * t) + 2 * t

де c1 та c2 - довільні константи, що залежать від початкових умов.

Підставляємо отримане значення y у вираз для z:

z = y - y' = c1 * e^(r1 * t) + c2 * e^(r2 * t) + 2 * t - (c1 * r1 * e^(r1 * t) + c2 * r2 * e^(r2 * t))

Таким чином, ми знайшли загальний розв'язок системи диференціальних рівнянь.

Вас заинтересует