Срочно пожалуйста 2 задания фото ко второму заданию
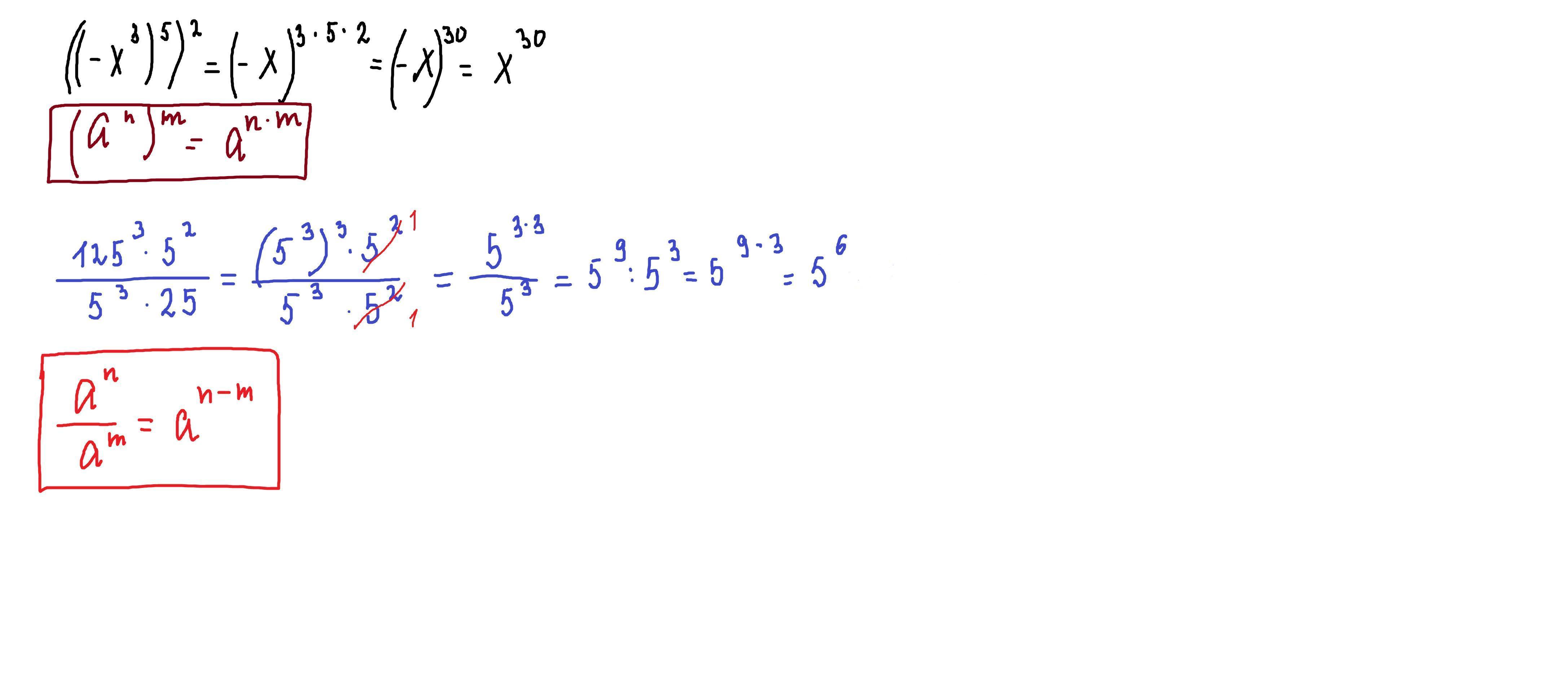
1-Спростіть вираз: ((- x3)5)2
2Подати вираз у вигляді степеня з основою 5
Приложения:

Ответы
Ответ дал:
0
Ответ:
Объяснение:1). отрицательное число при возведении в четную степень станет положительным
решение и формулы внизу
Приложения:

Аноним:
лупа
Вас заинтересует
1 год назад
1 год назад
1 год назад
1 год назад
3 года назад
8 лет назад