50б!!!!! Допоможіть терміново!!
завдання на світлині
Приложения:

AlexanderGermaniuk:
мг мг 50 балів
Ответы
Ответ дал:
0
Ответ:
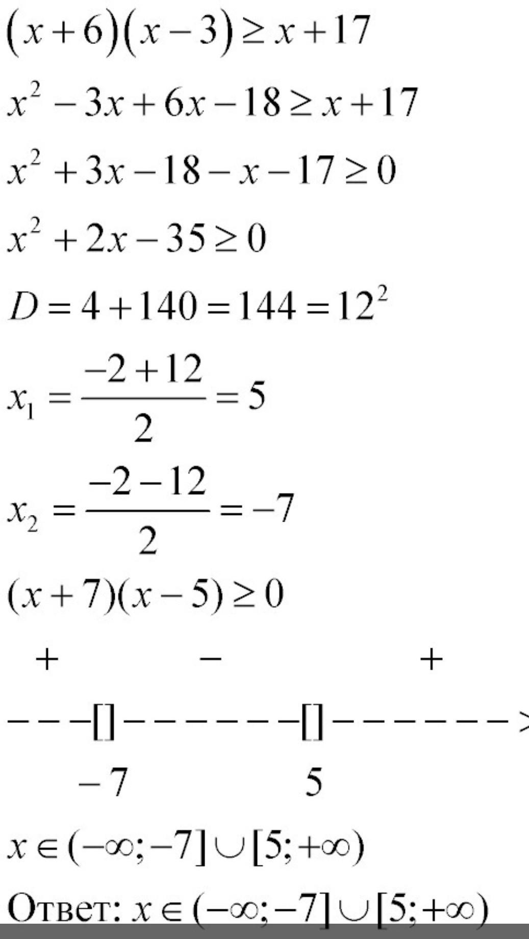
відповідь на фото, та пояснення
Приложения:

Вас заинтересует
1 год назад
1 год назад
1 год назад
3 года назад
8 лет назад