• Предмет: Математика
  • Автор: katjavatexovska
  • Вопрос задан 2 года назад

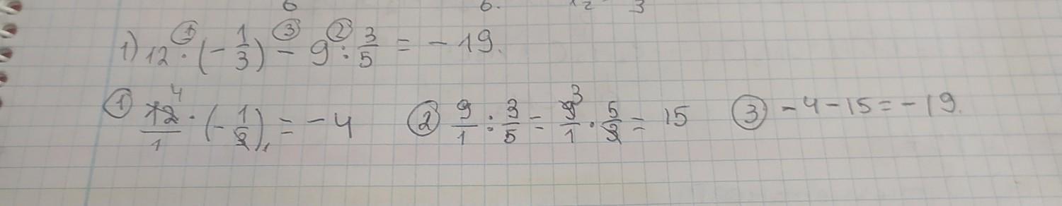
12•(-1/3)-9:3/5 пожалуйста умаляю ​

Ответы

Ответ дал: 10Karina10
1

Ответ:

-19

Пошаговое объяснение:

все у фото

..............

Приложения:
Вас заинтересует