• Предмет: Алгебра
  • Автор: sammhwk27
  • Вопрос задан 2 года назад

даю 30 балов алшебра 10 клас

Приложения:

Ответы

Ответ дал: 0mashka1502
0

Ответ:

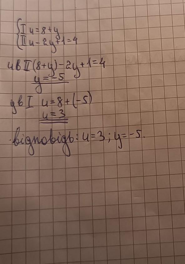
прилажуха схавала качество..

Объяснение:

но вроде всё правильно)

Приложения:
Вас заинтересует