• Предмет: Математика
  • Автор: glowstoned308
  • Вопрос задан 2 года назад

помогите решить, дано dy/dx=2xy-y, также y(0)=4, чему равен y​

Ответы

Ответ дал: Ilyazov45
0

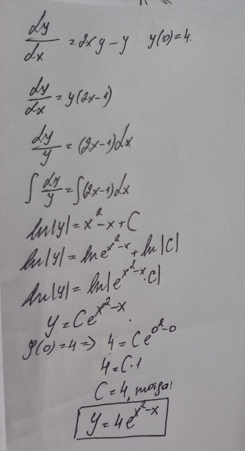
‐--------------------

Приложения:
Ответ дал: Pashtet2023
0

Диференціальне рівняння, яке дано, можна розв'язати методом розділення змінних. Для цього спочатку перепишемо його у вигляді:

dy/dx = y(2x-1)

Потім розділимі змінні, помістивши всі y на один бік, а всі x - на інший:

dy/y = (2x-1)dx

Тепер можемо проінтегрувати обидві частини рівняння:

∫dy/y = ∫(2x-1)dx

ln|y| = x^2 - x + C

де С - довільна константа інтегрування.

Для знаходження її значення скористаємося початковою умовою: y(0) = 4. Підставимо x=0 та y=4 у вираз для константи С:

ln|4| = 0 + C

C = ln|4|

Отже, розв'язок диференціального рівняння має вигляд:

ln|y| = x^2 - x + ln|4|

ln|y| = x^2 - x + ln(4)

y = e^(x^2-x+ln4)

y = e^(x^2-x) * e^(ln4)

y = 4e^(x^2-x)

Отже, розв'язок диференціального рівняння при початковій умові y(0) = 4 має вигляд y = 4e^(x^2-x).

Вас заинтересует