• Предмет: Алгебра
  • Автор: shopisat
  • Вопрос задан 1 год назад

допоможіть, терміново!
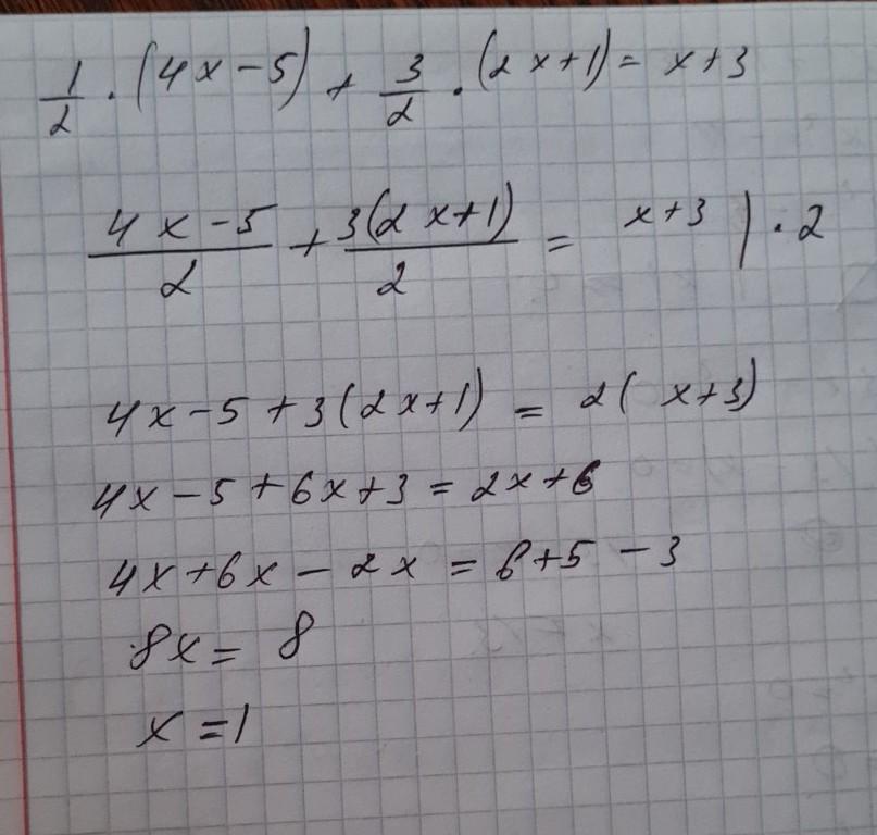
1/2 * (4x - 5) + 3/2 * (2x + 1) = x + 3
розв'язати рівняння

Ответы

Ответ дал: pallaziferma1
1

Ответ:

на фотооооооооо

Объяснение:

на фотооооо

Приложения:
Ответ дал: olegandrejcenko846
0

Ответ:

x=1

Объяснение:

 \frac{1}{2} (4x - 5) +  \frac{3}{2} (2x + 1) = x + 3

Розкриемо дужки:

2x -  \frac{5}{2}  + 3x +  \frac{3}{2}  = x + 3

2x + 3x - x = 3 +  \frac{5}{2}  -  \frac{3}{2}

4x = 3 + 1

4x = 4

x =  \frac{4}{4}

x = 1

Перевiрка:

 \frac{1}{2} (4 \times 1 - 5) +  \frac{3}{2} (2 \times 1 + 1) = 1 + 3

2 -  \frac{5}{2}  + 3 +  \frac{3}{2}  = 1 + 3

2 - 1 + 3 = 1 + 3

4 = 4

4 - 4 = 0

0 = 0

Вас заинтересует