• Предмет: Математика
  • Автор: baranovaso63
  • Вопрос задан 2 года назад

пожалуйстаа срочнооо

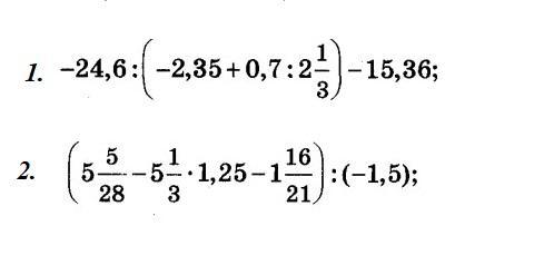
Приложения:

Ответы

Ответ дал: kirilovicigor71
0

Ответ:

1)7,35

2)-11,67

я не уверен что так

Ответ дал: sofakravcenko374
0

Ответ:

1. - 3,36

2. 13/6

Пошаговое объяснение:

Или нужно с подробным решением?


baranovaso63: нужно...
Вас заинтересует