• Предмет: Алгебра
  • Автор: daravybornaa369
  • Вопрос задан 2 года назад

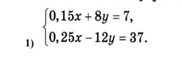
прошу, молю, помогите пожалуйста!!!я час сижу и не пойму что надо сделать. Систему треба вирішити способом додавання ​

Приложения:

Ответы

Ответ дал: biasw
1

Ответ:

{0,15х+8у=7 |*100

{0,25х-12у=37 |*100

{15х+800у=700 |*3

{25х-1200у=3700 |*2

{45х+2400у=2100

{50х-2400у=7400

95х=9500

х=100

15*100+800у=700

800у= -800

у= -1

(100; -1)


daravybornaa369: пасиб большое
Вас заинтересует