Ответы
Ответ дал:
1
Ответ:
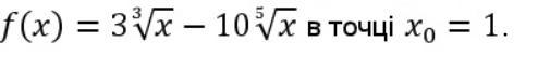
Производная степенной функции : .
Приложения:

Michael12341:
Спасибо вам огромное!!!
Вас заинтересует
1 год назад
1 год назад
1 год назад
1 год назад
3 года назад
8 лет назад