• Предмет: Алгебра
  • Автор: ratovskiyden
  • Вопрос задан 1 год назад

буду очень благодарен​

Приложения:

Ответы

Ответ дал: idleptimp
0

Відповідь:

Пояснення:

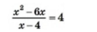
x^2-6x=4(x-4)

x^2-6x=4x-16

X^2-6x-4x=-16

x^2-10x=-16

x^2-10x+16=0

D=100-64

36

x1=(10-6)/2=2

x2=(10+6)/2=8

Вас заинтересует