• Предмет: Алгебра
  • Автор: stecivula9
  • Вопрос задан 2 года назад

срочно допоможіть будь ласка ​

Приложения:

Ответы

Ответ дал: broomspun1
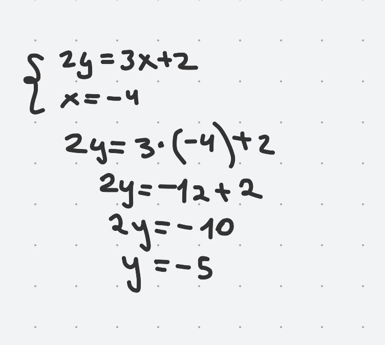
1

Ответ:

дай лучший ответ пж

Объяснение:

Приложения:
Вас заинтересует