Решите уравнение дробей 6 класса
1) первое, уравнение просто решите уравнение
2)а второе, Найди корень уравнений
Решите правильно пожалуйста
Приложения:

Ответы
Ответ дал:
1
Ответ:
1)х=-24
2)х=30,75
(далі просто дивись файл)
Приложения:

Ответ дал:
1
Ответ:
Пошаговое объяснение:
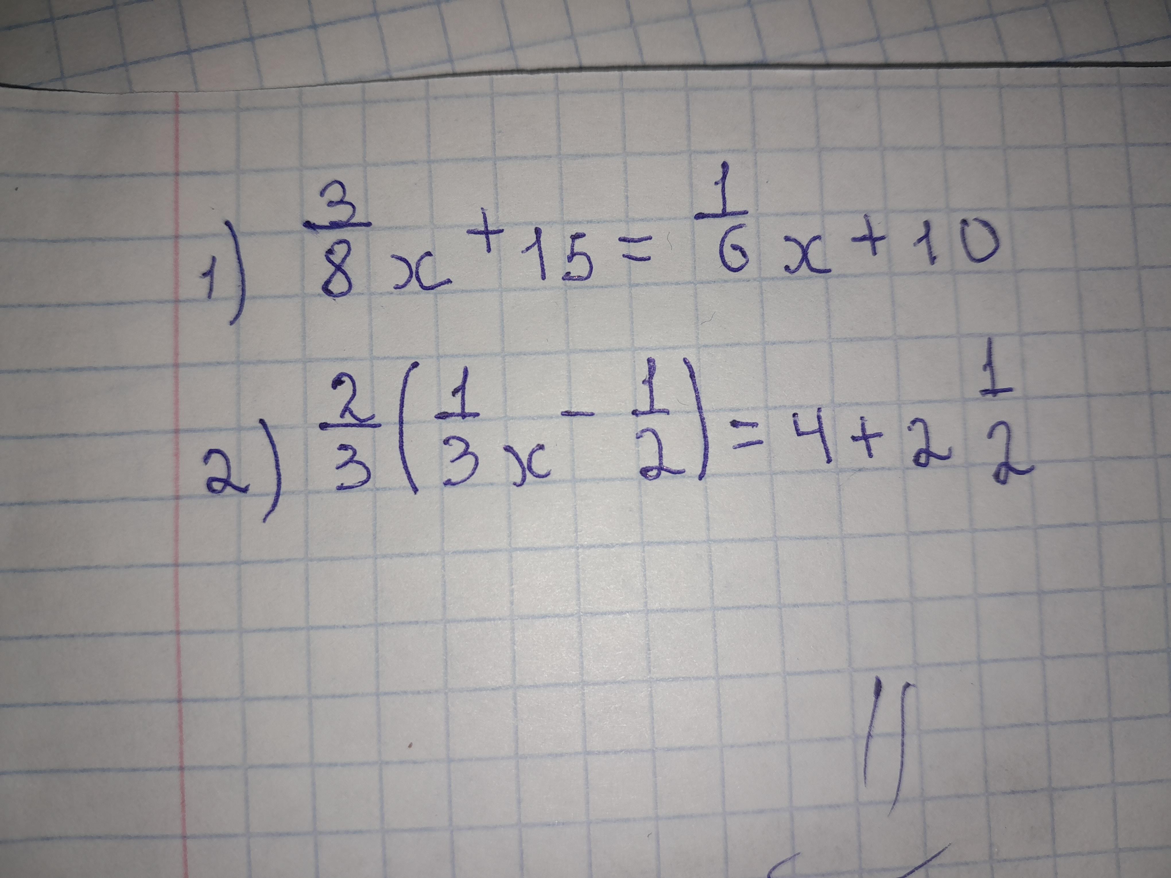
3/8х+15=1/6х+10
3/8х-1/6х=10-15
9/24х-4/24х=-5
5/24х=-5
Х=-5:5/24
Х=-5*24/5
Х=-24
2)2/3(1/3х-1/2)=4+2 1/2
2/9х-2/6=6 1/2
2/9х=6 1/2+2/6
2/9х=13/2+2/6
2/9х=39/6+2/6
2/9х=41/6
Х=41/6:2/9
Х=41/6*9/2
Х=123/4=30 3/4
Вас заинтересует
1 год назад
1 год назад
1 год назад
1 год назад
3 года назад