• Предмет: Алгебра
  • Автор: kravchukandrej30
  • Вопрос задан 1 год назад

пжпжпжпжпжпжпжпжппжпжпжпжпжппжпжпжпжпжпжпп

Приложения:

Ответы

Ответ дал: yuliia999
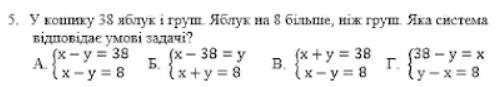
1
в)
{x+y=38
{x–y=8
Яклука — x шт.
Груш — y шт.
Ответ дал: victoriapitushenko
0
Правильний варіант В
Вас заинтересует