• Предмет: Алгебра
  • Автор: cernusikovamarana
  • Вопрос задан 2 года назад

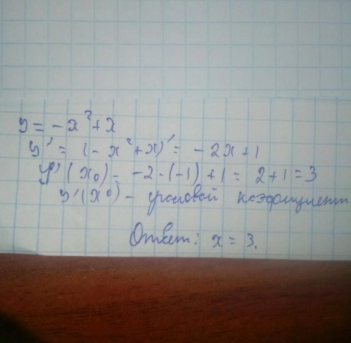
Знайдіть кутовий коефіцієнт дотичної до параболи y = x² - x в точці з абсцисою x = 0.

Ответы

Ответ дал: albinakiricenko9
1

Объяснение:

Буду очень благодарна, если сделаете мой ответ лучшим спасибо!)

Приложения:

cernusikovamarana: Огромное вам спасибо
Вас заинтересует