• Предмет: Алгебра
  • Автор: oksananehsiporenko30
  • Вопрос задан 2 года назад

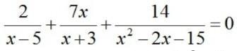
помогите подвлуйста ​

Приложения:

Ответы

Ответ дал: tabatskayarita
0

Ответ:

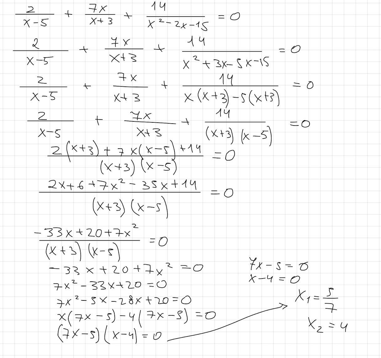
вот, сдесь с решением если надо)

Приложения:
Ответ дал: broomspun1
1

Ответ:

дай лучший ответ пж

Объяснение:

Приложения:
Вас заинтересует