Сколько килограммов 68-процентной азотной кислоты можно получить из 276 кг(н.у.) оксида азота (IV)?
Ответы
Ответ дал:
0
Дано:
V (NO2)=134.4 м3
w (HNO3)=68%
Найти:
m(HNO3)-?
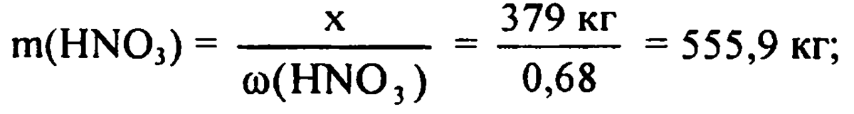
Решение
4NO2+O2+2H2O=4HNO3
V (NO2)=134.4 м3
w (HNO3)=68%
Найти:
m(HNO3)-?
Решение
4NO2+O2+2H2O=4HNO3
Приложения:
Ответ дал:
0
дана масса, а не объём!
Ответ дал:
0
Ок,сейчас перерешаю
Ответ дал:
0
Mr(NO2)=14+2*16=46 г/моль
Mr(HNO3) = 1+14+3*16=63 г/моль
составим пропорцию:
46 г/моль ------> 63 г/моль
276 кг --------> х кг(276*63)/46=378 кг чистой азотной кислоты
Т.к. выход продукта 68% составим пропорцию:
378 кг HNO3 ------------- 100%
y ------------ 68%
y= (378*68)/100=257.04 кг HNO3
Mr(HNO3) = 1+14+3*16=63 г/моль
составим пропорцию:
46 г/моль ------> 63 г/моль
276 кг --------> х кг(276*63)/46=378 кг чистой азотной кислоты
Т.к. выход продукта 68% составим пропорцию:
378 кг HNO3 ------------- 100%
y ------------ 68%
y= (378*68)/100=257.04 кг HNO3
Ответ дал:
0
спасибо!
Вас заинтересует
3 года назад
3 года назад
8 лет назад
11 лет назад
11 лет назад
11 лет назад