• Предмет: Алгебра
  • Автор: uliabato
  • Вопрос задан 2 года назад

Будь ласка допоможіть!

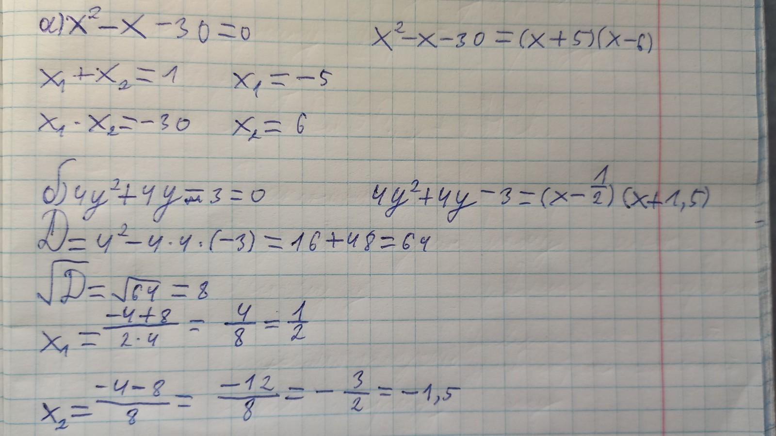
Розкладіть на множники квадратний тричлен:

a) x2-x-30;


6) 4y²+4y-3.

Ответы

Ответ дал: maksimlazurko9
1

Объяснение:

а) (x+5)(x-6); б) (x-0,5)(x+1,5)

Приложения:
Вас заинтересует