Ответы
Ответ дал:
1
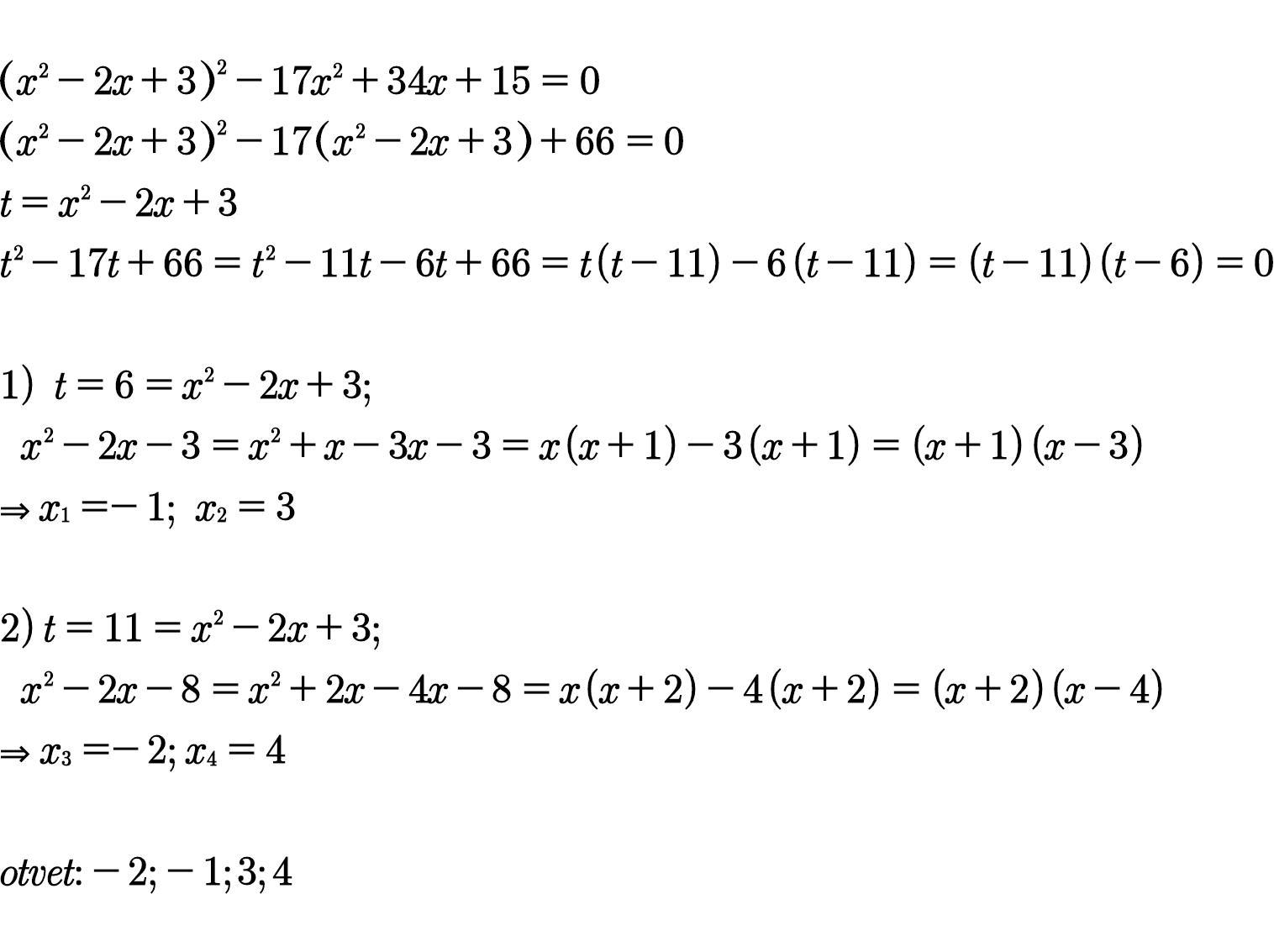
Ответ:
-2;-1;3;4
Объяснение:
Приложения:

gnazar9641:
Добрий день, можете мне помочь еще в одной задаче
Вас заинтересует
1 год назад
1 год назад
3 года назад
3 года назад
8 лет назад