Ответы
Ответ дал:
0
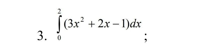
Інтеграл-10
ПОЯСНЕННЯ
ПОЯСНЕННЯ
Приложения:

Вас заинтересует
1 год назад
1 год назад
1 год назад
1 год назад
3 года назад
3 года назад
8 лет назад
8 лет назад