Ответы
Ответ дал:
2
Пошаговое объяснение:
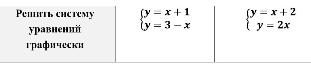
смотри фотоо.........................
Приложения:


Smilermath:
цей розв'язок не підходить для школи, якщо можна ще відповісти, покажу нормальний розв'язок
Вас заинтересует
1 год назад
1 год назад
3 года назад
3 года назад
8 лет назад
8 лет назад