• Предмет: Алгебра
  • Автор: I55555555
  • Вопрос задан 2 года назад

помогите пожалуйста решить уравнение​

Приложения:

Ответы

Ответ дал: sangers1959
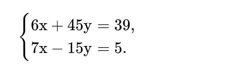
2

Ответ: (2;0,6)

Объяснение:

\displaystyle\\\left \{ {{6x+45y=39} \atop {7x-15y=5\ |*3}} \right. \ \ \ \ \ \ +\left \{ {{6x+45y=39} \atop {21x-45y=15}} \right. \ \ \ \ \ \Rightarrow\ \ \ \ \ \ \ \\\\27x=54\ |:27\\\\x=2.\\\\6*2+45y=39\\\\12+45y=39\\\\45y=27\ |:45\\\\y=0,6.

Вас заинтересует