• Предмет: Алгебра
  • Автор: Roman20180108
  • Вопрос задан 2 года назад

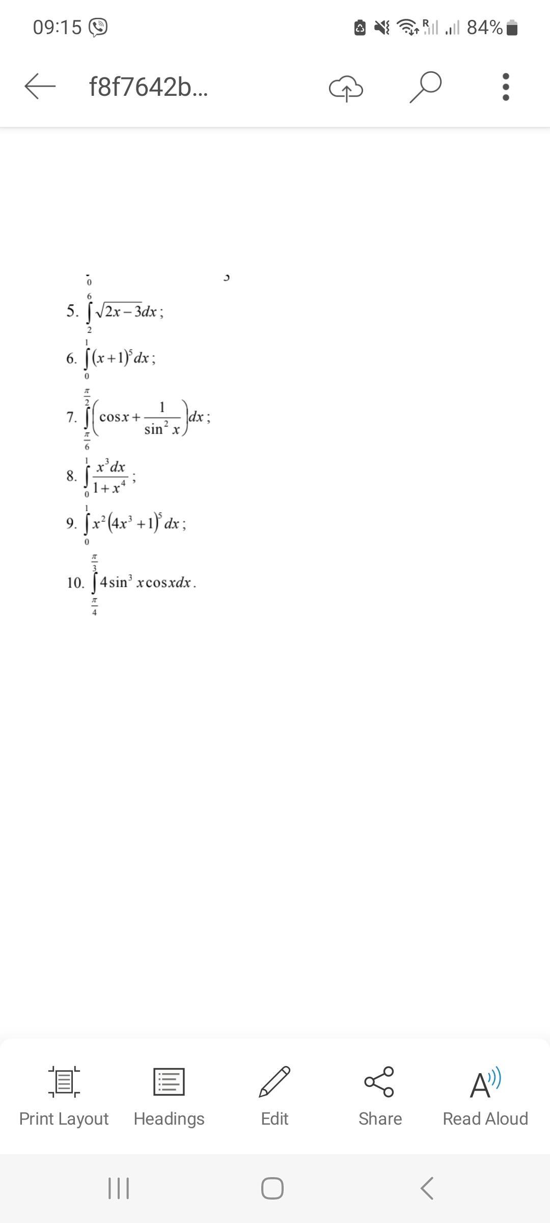
Решить визначені ентеграли в файлі ДАЮ 100 БАЛІВ

Приложения:

Ответы

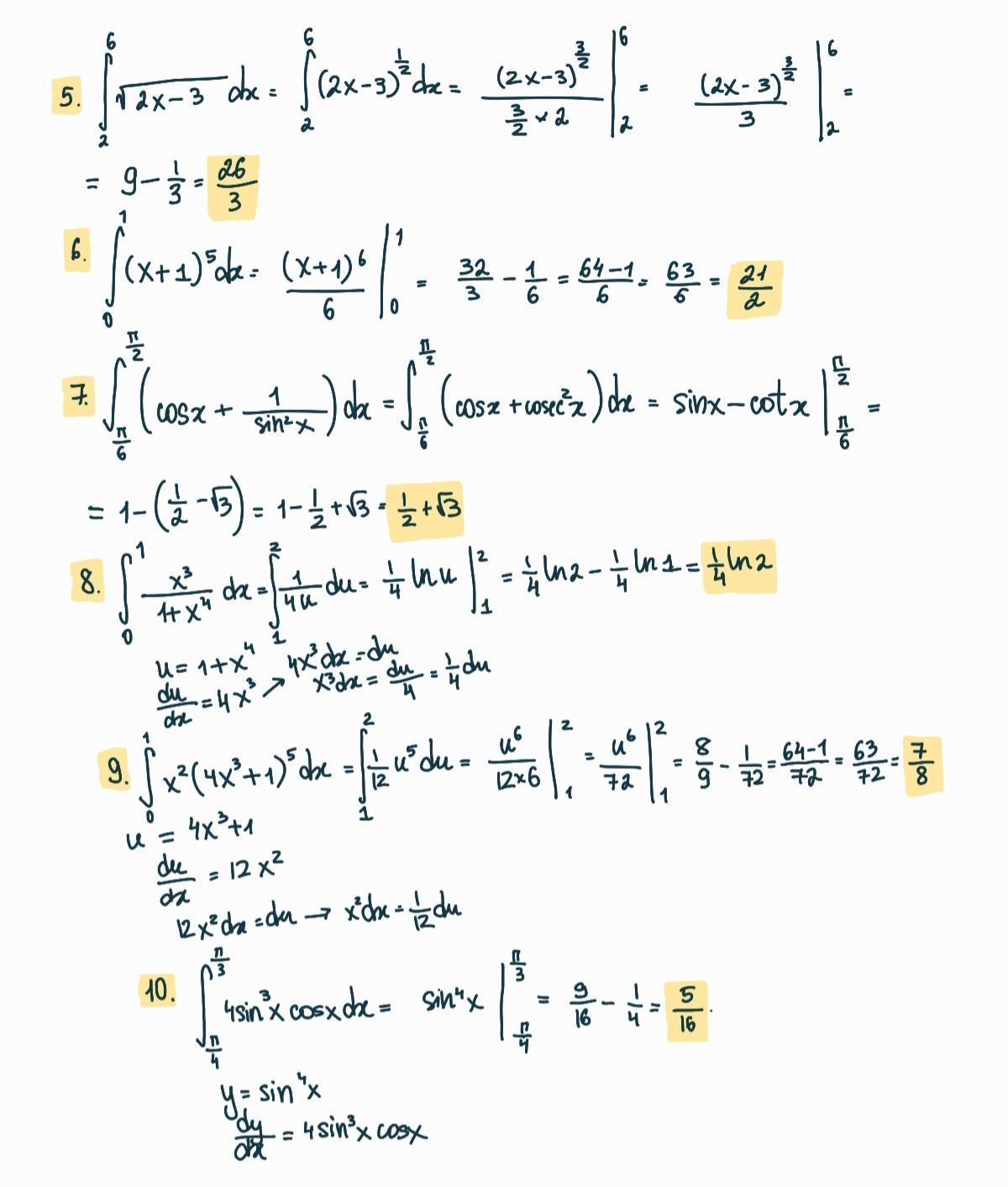
Ответ дал: Kierra
1

~~~~~~~~~~~~~~~~~~~~

Приложения:
Вас заинтересует