• Предмет: Математика
  • Автор: masichi
  • Вопрос задан 2 года назад

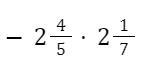
помогите пж даю 60 балов

Приложения:

Ответы

Ответ дал: mirru8917
0

Ответ:

-6

Пошаговое объяснение:

-14/5*15/7= -6

Ответ дал: iramazurk
0

Ответ:

-6

Пошаговое объяснение:

-2 4/5 * 2 1/7 = -14/5 * 15/7 = -2/1 * 3/1 = -6/1 = -6

Вас заинтересует