• Предмет: Алгебра
  • Автор: hahhaha4
  • Вопрос задан 1 год назад

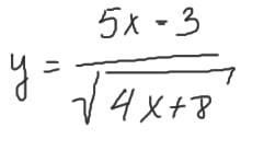
знайдіть область визначення функції СРОЧНО ДАМ 100Б

Приложения:

Ответы

Ответ дал: mary12523
0

Ответ:

всі числа, крім -2

(-∞;-2)✓(-2;+∞)

Приложения:
Вас заинтересует