Расположить в порядке увеличения кислотности : Cl3C-COOH, CH3COOH, HCOOH, ClCH2COOH
Ответ мотивировать.
Ответы
Ответ дал:
0
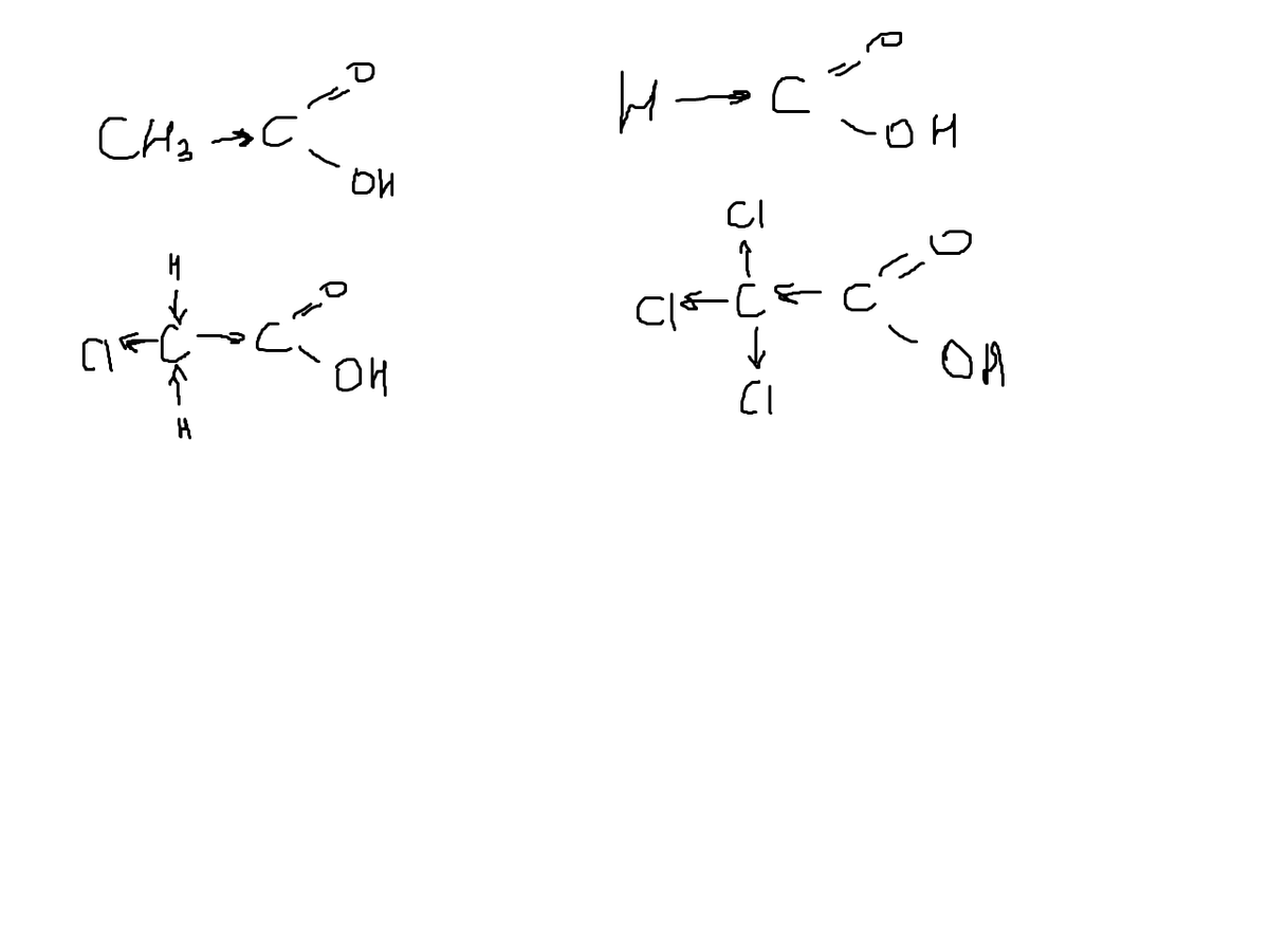
Если не ошибаюсь, то должно быть так:
CH3COOH
ClCH2COOH
HCOOH
Cl3C-COOH
+вложения (стрелки - смещение эл.плотности.)
CH3COOH
ClCH2COOH
HCOOH
Cl3C-COOH
+вложения (стрелки - смещение эл.плотности.)
Приложения:

Вас заинтересует
2 года назад
8 лет назад
10 лет назад
10 лет назад
10 лет назад