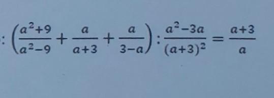
даю 100 балов докажите Тожевство срочно у меня сооррр
Приложения:

MAXSUPERBRAIN:
Photomath в помощь
Ответы
Ответ дал:
0
Объяснение:
a-3 / a²+3a+9 + 9a / a³-27 - 1 / a-3 = a-3 / a²+3a+9 + 9a / (a-3)(a²+3a+9) + 1 / a-3 = a²-6a+9+9a-a²-3a-9 / (a-3)(a²+3a+9) = 0 / (a-3)(a²+3a+9) = 0
Вас заинтересует
1 год назад
1 год назад
3 года назад
3 года назад
8 лет назад
8 лет назад