• Предмет: Математика
  • Автор: nikaulanova1
  • Вопрос задан 2 года назад

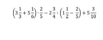
помогите решить пожалуйста.​

Приложения:

Ответы

Ответ дал: mariamka85
0

как то так получилось надеюсь что помогла

Приложения:
Ответ дал: 09sx1sx
0
целая 2 на верху 7 в низу 10
Вас заинтересует