• Предмет: Алгебра
  • Автор: Аноним
  • Вопрос задан 2 года назад

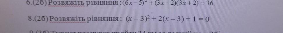
ПОМОГИТЕ ПОЖАЛУЙСТА!! ОЧЕНЬ НУЖНО С РАЗВЯЗАНИЕМ НА БУМАГЕ!!!​

Приложения:

Ответы

Ответ дал: nnniii239
0

Ответ:

Формули дискрімінанта можна не записувати я написав їх для пояснення

Объяснение:

на фото

Приложения:
Вас заинтересует