• Предмет: Алгебра
  • Автор: ilonakarpen
  • Вопрос задан 2 года назад

розв'яжіть рівняння
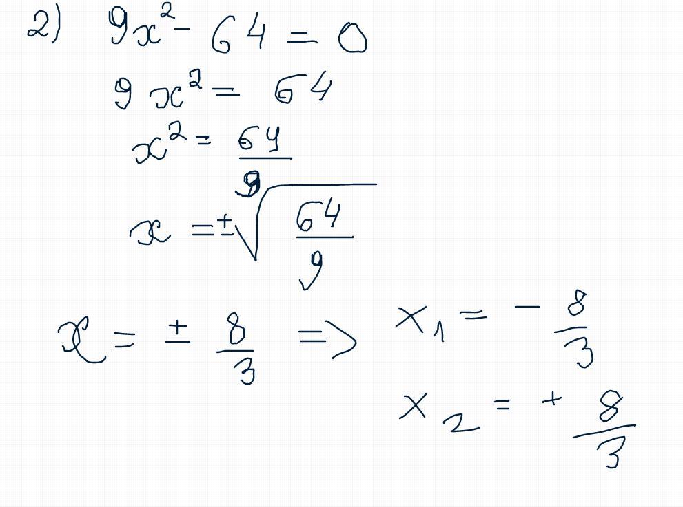
2. 9x²-64=0;
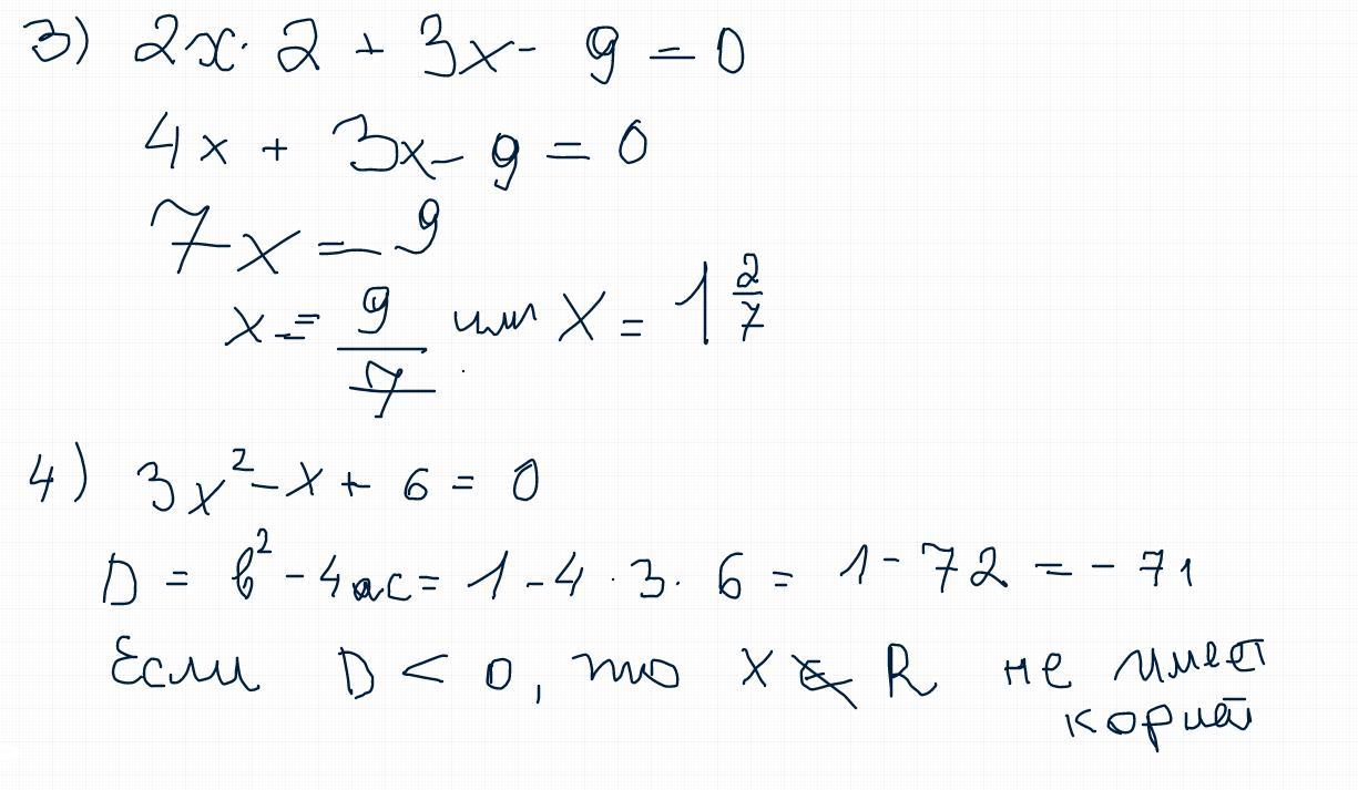
3. 2x2+3x-9=0;
4. 3x²-x+6=0;
5. x2+2х-24=0.
будь ласка допоможіть пж!!!!!! до 12 год !!!!!!!!!!!​

Ответы

Ответ дал: puzyrevnikolaj8
0

Ответ:

Объяснение:

Все решение на фото

Приложения:

ilonakarpen: це точно правильно ?
puzyrevnikolaj8: Да!
puzyrevnikolaj8: Поверьте получите хорошую оценку.
Вас заинтересует