• Предмет: Алгебра
  • Автор: CTEPAN8
  • Вопрос задан 2 года назад

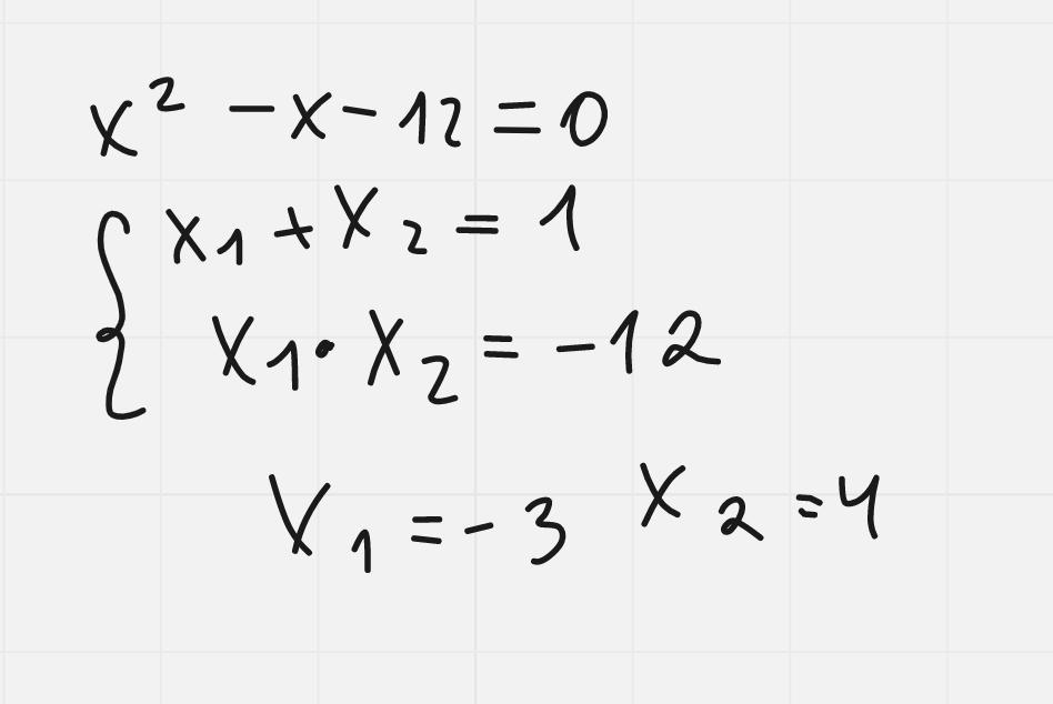
Завдання на фото даю 30 балов

Приложения:

Ответы

Ответ дал: rpshshsj
0

Ответ:

x²-x+12=0

a=1. B=-1, c=12

D= (-1)2-4*1*12=1-48=-47<0 корней нет

Объяснение:

Дай лучший ответ пожалуйста

Ответ дал: broomspun1
0

Ответ:

відповідь два і ось розвʼязок

Объяснение:

Приложения:
Вас заинтересует