• Предмет: Алгебра
  • Автор: krazyvlad
  • Вопрос задан 2 года назад

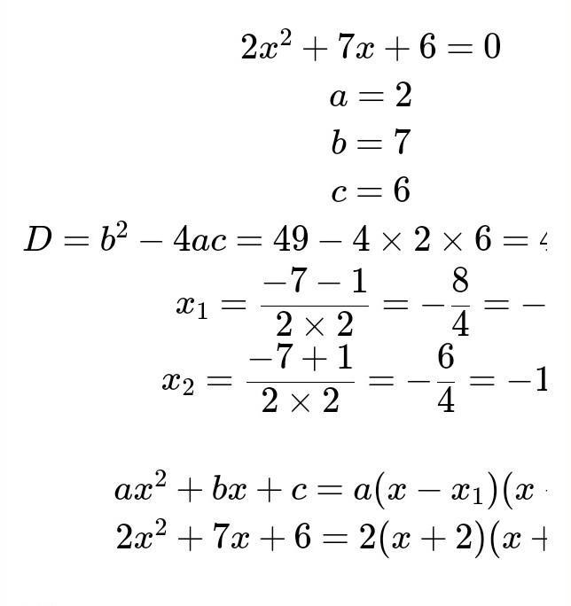
Розкладіть на множники тричлен 2x² + 7x + 6. Його дискримінант дорівнює: . Перший корінь Другий корінь = ... ... = Розклад на множники такий: 2x2 + 7x + 6 =
срочого дам 50 балов ​

Ответы

Ответ дал: сок111213
0

2 {x}^{2}  + 7x + 6 = 0 \\ a =2  \\ b =7  \\ c = 6 \\ D =  {b}^{2}  - 4ac = 49 - 4 \times 2 \times 6 = 49 - 48 = 1 \\ x_{1} =  \frac{ - 7 - 1}{2 \times 2}  =  -  \frac{8}{4}   =  - 2\\ x_{2} =  \frac{ - 7 + 1}{2 \times 2}  =  -  \frac{6}{4}  =  - 1.5 \\  \\ a {x}^{2}  + bx + c = a(x - x_{1})(x - x_{2}) \\ 2 {x}^{2}  + 7x + 6 = 2(x + 2)(x + 1.5)

Ответ дал: akselfouli34
0

Ответ:

вот, все на картинке####

Приложения:
Вас заинтересует