• Предмет: Алгебра
  • Автор: dmpvoflast
  • Вопрос задан 1 год назад

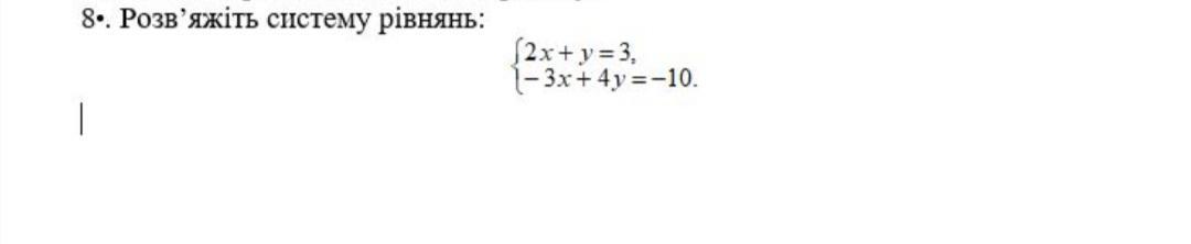
Допоможіть будь ласка

Приложения:

Ответы

Ответ дал: 00pelmeshka00
0

Ответ:

(2, -1)

Объяснение:

на фото..........

Приложения:
Вас заинтересует